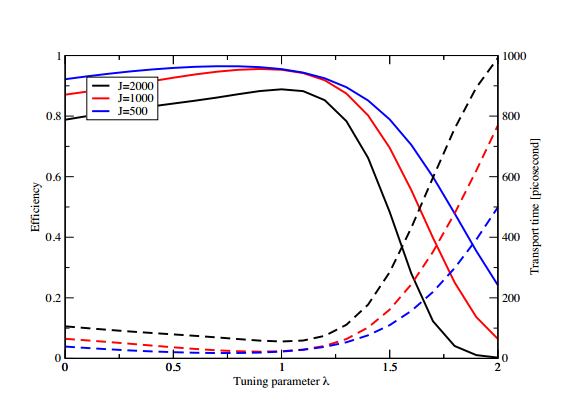
The unique capability of quantum mechanics to evolve alternative possibilities in parallel is appealing and over the years a number of quantum algorithms have been developed offering great computational benefits. Systems coupled to the environment lose quantum coherence quickly and realization of schemes based on unitarity might be impossible. Recent discovery of room temperature quantum coherence in light harvesting complexes opens up new possibilities to borrow concepts from biology to use quantum effects for computational purposes. While it has been conjectured that light harvesting complexes such as the Fenna-Matthews-Olson (FMO) complex in the green sulfur bacteria performs an efficient quantum search similar to the quantum Grover’s algorithm the analogy has yet to be established. See: Evolutionary Design in Biological Quantum Computing
![]() |
||
| The Bloch sphere is a representation of a qubit, the fundamental building block of quantum computers. |
![]() |
| Quantum Light Harvesting Hints at Entirely New Form of Computing |
See:




